Brexit Could Put Premier League At Competitive Disadvantage

Brexit Could Put Premier League At Competitive Disadvantage

Buffalo Bills Roster Analysis Interior Offensive Line

Buffalo Bills Roster Analysis Interior Offensive Line

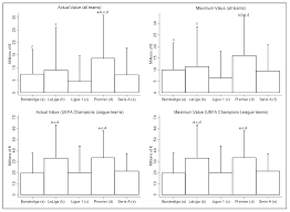
Sustainability Free Full Text Impact Of The Proportion Of Foreign Players Appearances On The Success Of Football Clubs In Domestic Competitions And European Competitions In The Context Of New Culture Html

Sustainability Free Full Text Impact Of The Proportion Of Foreign Players Appearances On The Success Of Football Clubs In Domestic Competitions And European Competitions In The Context Of New Culture Html

Snifd1fib Ss M

Snifd1fib Ss M

Pin On Premier League

Pin On Premier League

Wnba Leads All Leagues In Diversity Hiring Again

Wnba Leads All Leagues In Diversity Hiring Again

Wnba Leads All Leagues In Diversity Hiring Again

Wfdjofu2hgdm4m

Wfdjofu2hgdm4m

Sustainability Free Full Text Money Talks Team Variables And Player Positions That Most Influence The Market Value Of Professional Male Footballers In Europe Html

Sustainability Free Full Text Money Talks Team Variables And Player Positions That Most Influence The Market Value Of Professional Male Footballers In Europe Html

Sustainability Free Full Text Regional Differences In Municipal Solid Waste Collection Quantities In China Html

Sustainability Free Full Text Regional Differences In Municipal Solid Waste Collection Quantities In China Html

2021 Nfl Mock Draft Mel Kiper Projects Blockbuster Trades For Top Qbs

2021 Nfl Mock Draft Mel Kiper Projects Blockbuster Trades For Top Qbs

Sustainability Free Full Text The Sedentary Process And The Evolution Of Energy Consumption In Eight Native American Dwellings Analyzing Sustainability In Traditional Architecture Html

Sustainability Free Full Text The Sedentary Process And The Evolution Of Energy Consumption In Eight Native American Dwellings Analyzing Sustainability In Traditional Architecture Html

Rocket League Will Go Free To Play On September 23rd

Rocket League Will Go Free To Play On September 23rd

Rrohna2zw6vjsm

Rrohna2zw6vjsm

Http Www Environment Sa Gov Au Files 5a7dbb25 70b9 4ceb Bbfd A25800961994 Offshore Islands Gen Pdf

Http Www Environment Sa Gov Au Files 5a7dbb25 70b9 4ceb Bbfd A25800961994 Offshore Islands Gen Pdf

Sustainability Free Full Text The Motivation Of Urban Gardens In Mountain Areas The Case Of South Tyrol Html

Sustainability Free Full Text The Motivation Of Urban Gardens In Mountain Areas The Case Of South Tyrol Html

Sustainability Free Full Text To Rank Or Not To Rank With Indices That Is The Question Html

Sustainability Free Full Text To Rank Or Not To Rank With Indices That Is The Question Html

Sustainability Free Full Text Impact Of Spectators Perceptions Of Corporate Social Responsibility On Regional Attachment In Sports Three Wave Indirect Effects Of Spectators Pride And Team Identification Html

Sustainability Free Full Text Impact Of Spectators Perceptions Of Corporate Social Responsibility On Regional Attachment In Sports Three Wave Indirect Effects Of Spectators Pride And Team Identification Html

Sustainability Free Full Text Sustainable Sport Scheduling Approach Considering Team Equity For The Korean Professional Baseball League Html

Sustainability Free Full Text Sustainable Sport Scheduling Approach Considering Team Equity For The Korean Professional Baseball League Html

Https Www Bluecross Org Uk Sites Default Files Downloads 109890 Pdf

Https Www Bluecross Org Uk Sites Default Files Downloads 109890 Pdf

Steelers President Art Rooney Ii Isn T Interested In Rebuilding

Steelers President Art Rooney Ii Isn T Interested In Rebuilding

Https Www Clinton County Org Archive Aspx Adid 819

Https Www Clinton County Org Archive Aspx Adid 819

Https Ro Uow Edu Au Cgi Viewcontent Cgi Filename 0 Article 1747 Context Theses Type Additional

Https Ro Uow Edu Au Cgi Viewcontent Cgi Filename 0 Article 1747 Context Theses Type Additional

Sustainability Free Full Text Optimal Body Composition And Anthropometric Profile Of World Class Beach Handball Players By Playing Positions Html

Sustainability Free Full Text Optimal Body Composition And Anthropometric Profile Of World Class Beach Handball Players By Playing Positions Html

Https Www Theses Fr 2018ren1b014 Pdf

Https Www Theses Fr 2018ren1b014 Pdf

Cphtmzta2bv Km

Cphtmzta2bv Km

Sustainability Free Full Text Conditions Under Which Trickle Down Effects Occur A Realist Synthesis Approach Html

Sustainability Free Full Text Conditions Under Which Trickle Down Effects Occur A Realist Synthesis Approach Html

Chcv7dxcmfjakm

Chcv7dxcmfjakm

From Ncfc Raleigh Native Realizes Major League Soccer Dream

From Ncfc Raleigh Native Realizes Major League Soccer Dream

Https Tabletennisengland Co Uk Etta Website Magazine Archive 1963 64 Tt Issue183 Pdf

Https Tabletennisengland Co Uk Etta Website Magazine Archive 1963 64 Tt Issue183 Pdf

Alisson Becker Photostream Liverpool Team Uefa Champions League Lionel Messi

Alisson Becker Photostream Liverpool Team Uefa Champions League Lionel Messi

Kfhbquuk Cn M

Kfhbquuk Cn M

Sift Through The Sands

Sift Through The Sands

The Queen S Highway From Ocean To Ocean Ubc Library Open Collections

The Queen S Highway From Ocean To Ocean Ubc Library Open Collections

Https Openresearch Repository Anu Edu Au Bitstream 1885 114701 2 B11707471 Pdf

Https Openresearch Repository Anu Edu Au Bitstream 1885 114701 2 B11707471 Pdf

Https Finance Hermes Com En 2019 Universal Registration Document

Https Finance Hermes Com En 2019 Universal Registration Document

Https Www Ic Gc Ca Opic Cipo Tmj Eng 20apr2016 En Pdf Year 2016 Edition 04 20

Https Www Ic Gc Ca Opic Cipo Tmj Eng 20apr2016 En Pdf Year 2016 Edition 04 20

Nate Solder Named Contract Giants Wish Could Disappear

Nate Solder Named Contract Giants Wish Could Disappear

Https Www Jstor Org Stable 43298498

Https Www Jstor Org Stable 43298498

Https Www Hsdl Org View Did 812918

Https Www Hsdl Org View Did 812918

Https Europa Eu Capacity4dev File 26609 Download Token Xhoyq37c

Https Europa Eu Capacity4dev File 26609 Download Token Xhoyq37c